• Предмет: Математика
  • Автор: asikmussabayev
  • Вопрос задан 8 лет назад

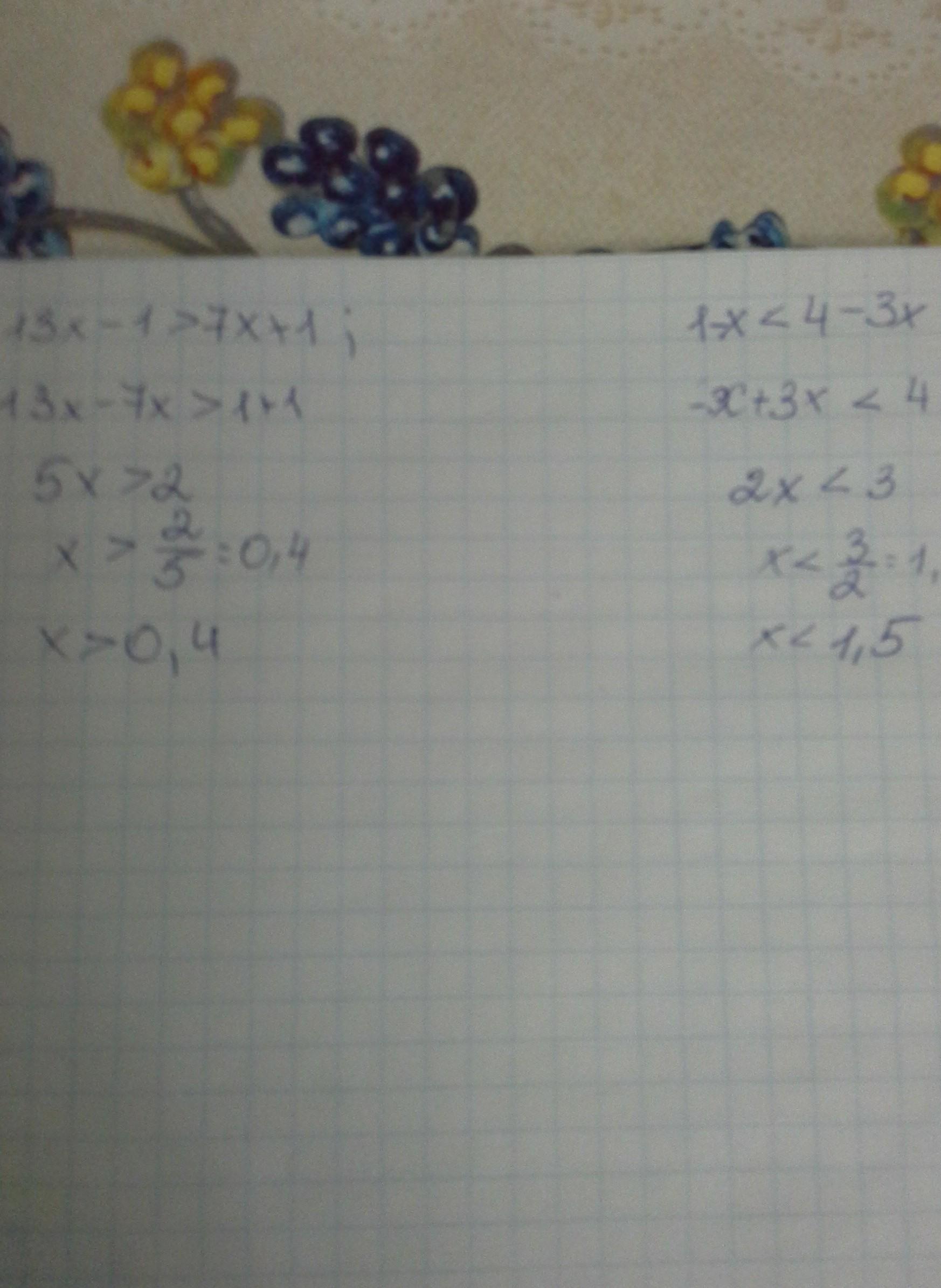
Помогитееее @[email protected] 13x-1>7x+1; 1-x<4-3x

Ответы

Ответ дал: gonchuktanya
0

Пошаговое объяснение:

думаю так але якщо ще креслять метод інтервалів але тут не вказано

Приложения:
Ответ дал: asikmussabayev
0
Ты по украинский говоришь
Ответ дал: asikmussabayev
0
или нет
Ответ дал: gonchuktanya
0
говорю
Ответ дал: pyhtinap7
0
13 - 7 будет же 6
Ответ дал: gonchuktanya
0
справді пробачте трішки замоталась
Вас заинтересует