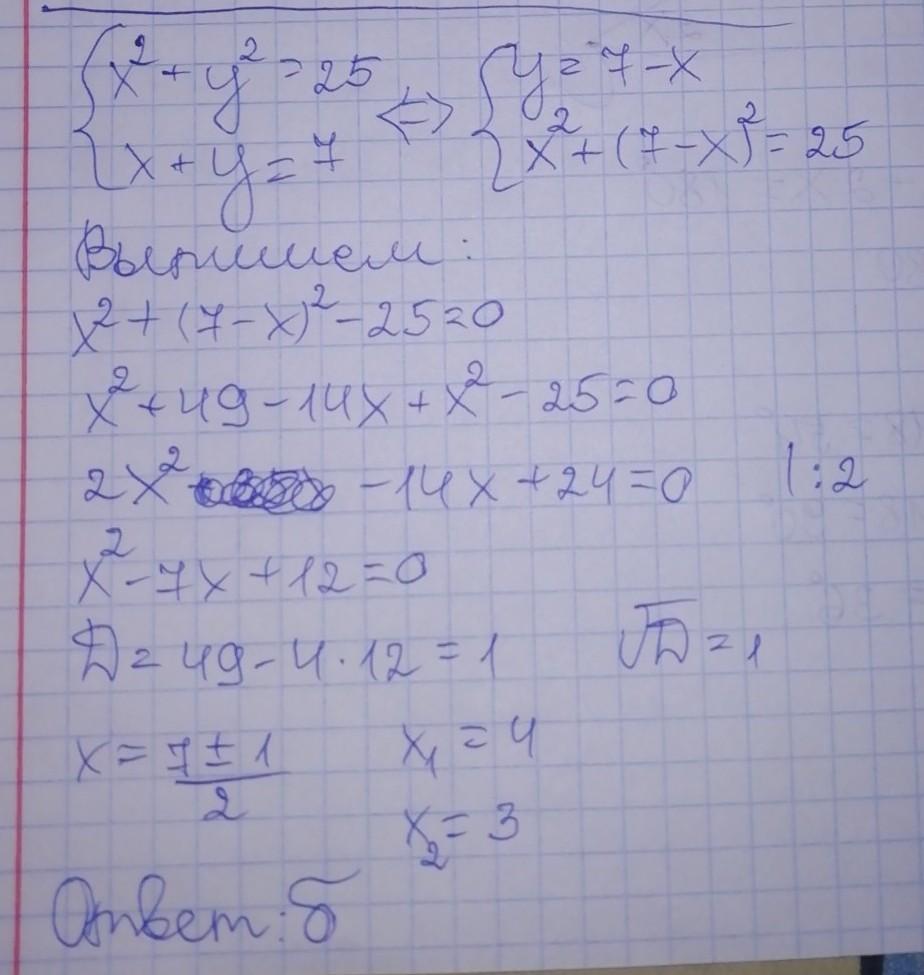
Укажіть пару чисел, яка є розвязком системи рівнянь
{
х²+у²=25
х+у=7
А) (-3,4)
Б) (3,4)
В) (-3,-4)
Г) (3,-4)
Бажано з розвязком
Ответы
Ответ дал:
0
Ответ:
Б
Объяснение:
.....................
Приложения:

Ответ дал:
0
Х в квадрате = 3
3*3=9
y в квадрате = 4
4*4=16
9+16=25
3*3=9
y в квадрате = 4
4*4=16
9+16=25
Приложения:

Вас заинтересует
2 года назад
2 года назад
3 года назад
8 лет назад