• Предмет: Математика
  • Автор: babah1206199944
  • Вопрос задан 8 лет назад

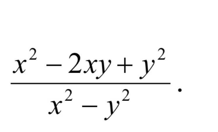
Упростите выражение:

Приложения:

Ответы

Ответ дал: KnightOff
0

для того чтобы упростить данное выражение, нужно знать формулы сокращённого умножения. в дальнейшем, в более старших классах, знание формул тоже пригодится.

(x²-2xy+y²)/ (x²-y²)

давайте рассмотрим пример. в числителе наглядно видим квадрат разности. крайние коэффициенты в квадрате, средний член разложения, удвоенное произведение двух крайних коэффициентов.

в знаменателе разность квадратов. очень важно отличать квадрат разности и разность квадратов, поскольку из примера, данного в числителе, мы видим, что это не одно и то же. дети часто путают.

разность квадратов раскрывается очень легко и просто: произведение суммы данных коэффициентов на их же разность.

перепишу пример ещё раз, но уже для дальнейшего решения.

(x²-2xy+y²)/ (x²-y²)= (х-у)²/(х-у)(х+у)=

(х-у)/ (х+у)

ОТВЕТ: (х-у)/ (х+у)

Вас заинтересует