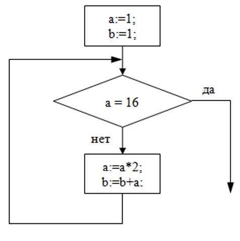
По блок-схеме определите значение переменной b. В ответе укажите только одно число. Можете объяснить
Приложения:

Ответы
Ответ дал:
0
a b условие
1 1 нет
2 3 нет
4 7 нет
8 15 нет
16 31 да
Вас заинтересует
2 года назад
2 года назад
3 года назад
3 года назад
8 лет назад
8 лет назад
9 лет назад