• Предмет: Математика
  • Автор: anastasia8224
  • Вопрос задан 8 лет назад

|3 - х| < 1,2
ДАЮ 10 БАЛЛОВ
Помогите пожалуйста)​

Ответы

Ответ дал: mikozhumka
0

Ответ:

|3-x| < 1,2

1) 3-x < 1,2

-x<-1,8

x>1,8

2) 3-x<-1,2

-x<-1,2-3

-x<-2,5

x>2,5

Пошаговое объяснение:

Ответ дал: anastasia8224
0
Ну можно написать на листочке и сфоткать
Ответ дал: anastasia8224
0
ну ладно, всё равно спасибо)
Ответ дал: parus77
0

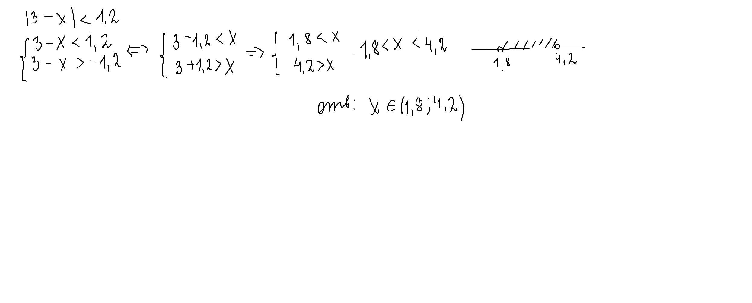
Ответ:

Пошаговое объяснение:

решение внизу

Приложения:
Вас заинтересует