• Предмет: Алгебра
  • Автор: umnican
  • Вопрос задан 8 лет назад

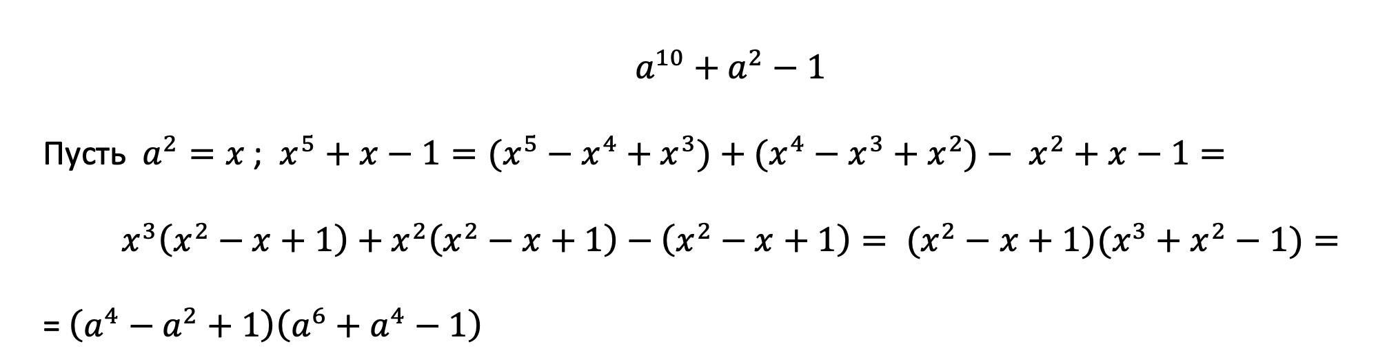
Разложите на множители: a^10+a^2-1

Ответы

Ответ дал: antonovm
0

Решение : //////////////////////////////////

Приложения:
Вас заинтересует