Ответы
Ответ дал:
0
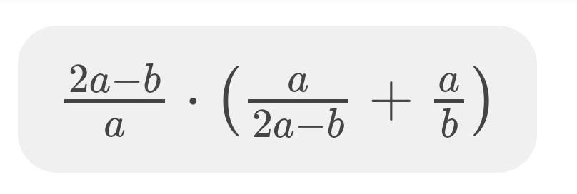
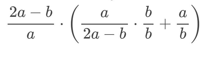
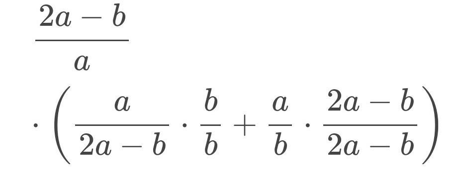
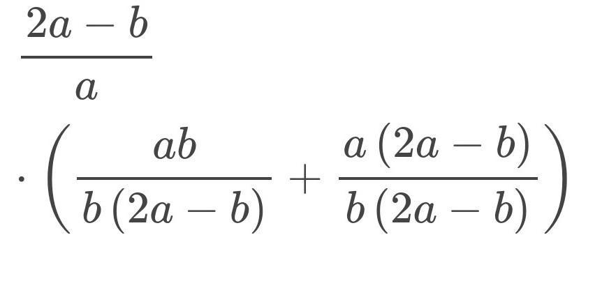
Надеюсь, что я правильно выполнил задание...
Приложения:





Вас заинтересует
2 года назад
3 года назад
3 года назад
8 лет назад
8 лет назад
9 лет назад