• Предмет: Алгебра
  • Автор: vankanetu2017
  • Вопрос задан 8 лет назад

Упростить и найти его значение.
1)9-4а^2/4а^2-12а+9 при а=2/3
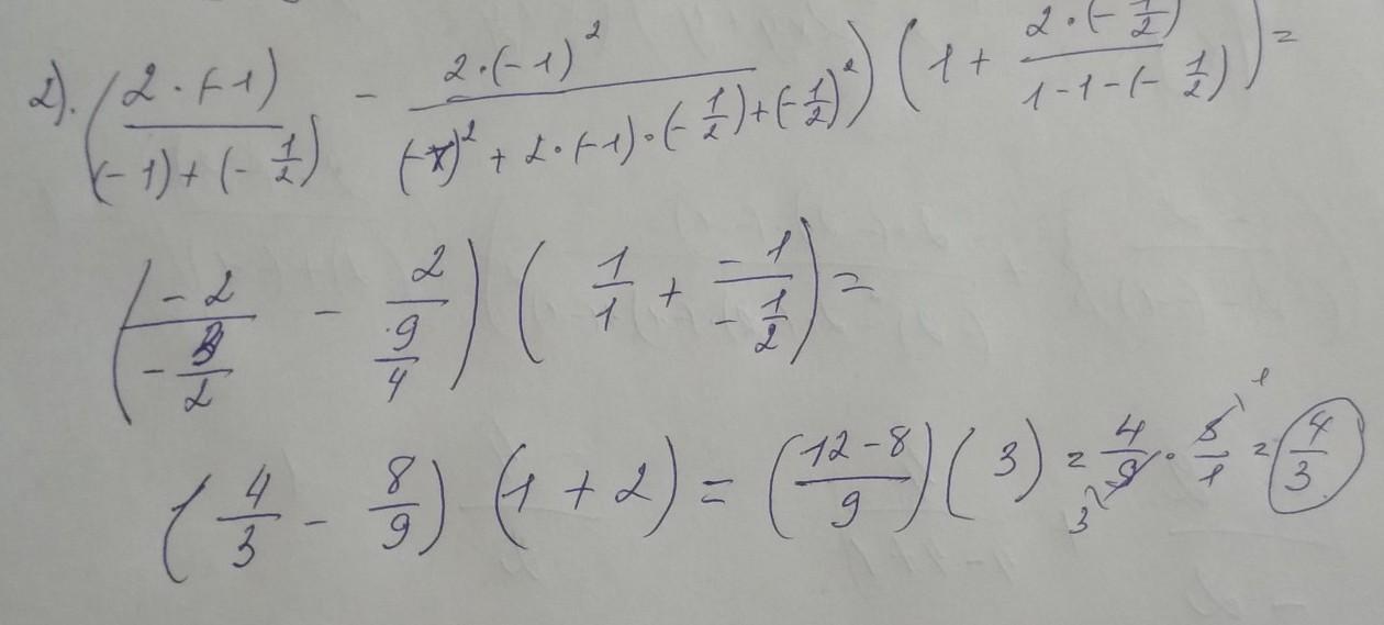
2)(2х/х+у-2х^2/х^2+2ху+у^2)(1+2у/х-у) при х=-1;у=-1/2
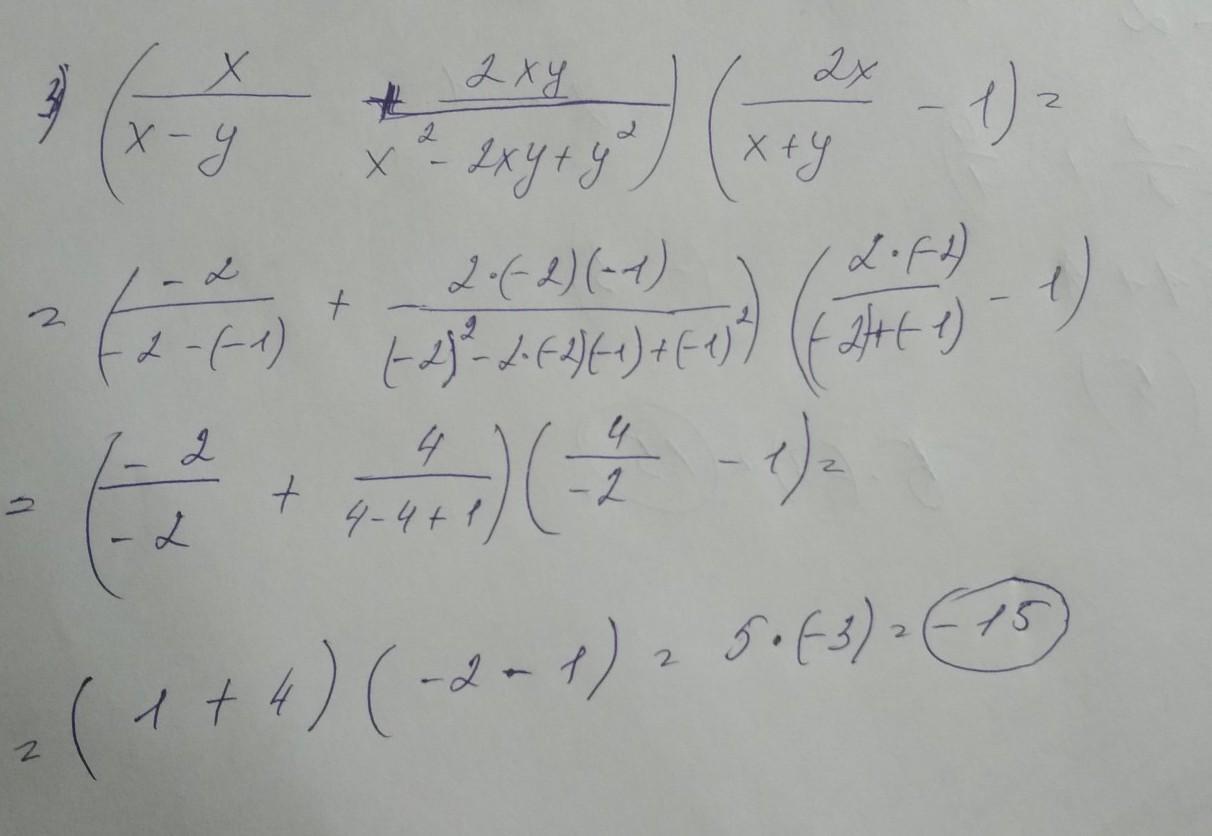
3)(х/х-у+2ху/х^2-2ху+у^2)(2х/х+у-1) при х=-2;у=-1.
/-знак дроби
^-степень

Ответы

Ответ дал: nastyapervyshina05
0

извиняюсь за почерк писала на уроке быстро

Приложения:
Вас заинтересует