• Предмет: Математика
  • Автор: matveikuhkin
  • Вопрос задан 8 лет назад

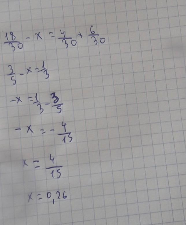
Реши уравнения 18/30-х=4/30+6/30 плиз

Ответы

Ответ дал: Faseless
0

Пошаговое объяснение:

18/30 - х = 10/30

х= 18/30 - 10/30

х =8/30

Сокращаем

4/15

Ответ дал: Faseless
0
кстати, 4/15 нельзя перевести в десятичную дробь, можешь даже в калькуляторе проверить
Ответ дал: lololoshka2838387646
0

Пошаговое объяснение:

всеееееееееееееееееееее

Приложения:
Вас заинтересует