Массовая доля O в оксиде одновалентного металла равна 0,29. опредилите метал характерными свойствами оксида и запишите реакцию характерную его свойства
Ответы
Ответ дал:
0
Ответ:
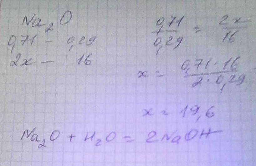
Na2O + H2O = 2NaOH
Объяснение:
Приложения:

Вас заинтересует
2 года назад
3 года назад
3 года назад
8 лет назад
8 лет назад
9 лет назад