• Предмет: Алгебра
  • Автор: rushikkkko
  • Вопрос задан 8 лет назад

Народ, посогщ с заданием, заранее спасибо.
Даю 40 баллов

Приложения:

Ответы

Ответ дал: NNNLLL54
0

.......................................................................................................................................

Приложения:
Ответ дал: Аноним
0

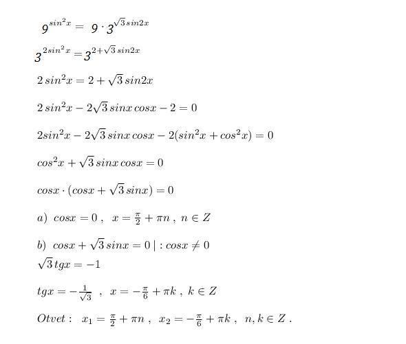
Ответ: во вложении Объяснение:

Приложения:
Вас заинтересует