• Предмет: Математика
  • Автор: olga28102002
  • Вопрос задан 8 лет назад

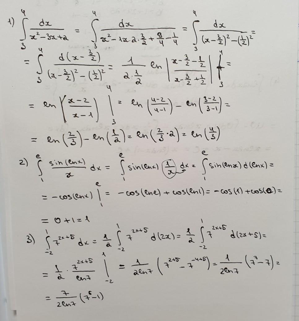
Людии добрые, математики уважаемые, помогите, пожалуйста,гуманитарию((( Нужно решить 4 примерчика по математике...интегралы( не получается у меня, эх... буду вам очень благодарна ! Для вас, я думаю, это самое простое, что может быть, не то, что для меня(((((

Приложения:

Ответы

Ответ дал: Miroslava227
0

Ответ:

решение на фотографиях

Приложения:
Вас заинтересует