• Предмет: Математика
  • Автор: fvyhf
  • Вопрос задан 8 лет назад

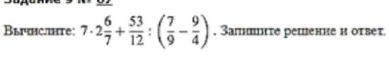
1 МАЛЕНЬКИЙ ПРИМЕР, РЕШИТЕ ПОЖАЛУЙСТА, И С РЕШЕНИЕМ КАК РЕШИЛИ, 35 БАЛЛОВ ​

Приложения:

Ответы

Ответ дал: tatsach
0

Ответ:

Пошаговое объяснение:

Приложения:
Ответ дал: fvyhf
0
это по действиям? 3 действия? я правильно поняла?
Ответ дал: fvyhf
0
или 4 действия
Вас заинтересует