• Предмет: Математика
  • Автор: rbtgff
  • Вопрос задан 8 лет назад

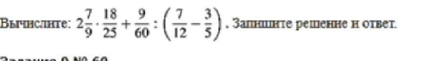
1 МАЛЕНЬКИЙ ПРИМЕР, РЕШИТЕ ПОЖАЛУЙСТА, И ПО ДЕЙСТВИЯМ КАК РЕШИЛИ, 35 БАЛЛОВ, СПАСИБО ЗАРАНЕЕ ​

Приложения:

Ответы

Ответ дал: redkovpavel21
0

Ответ:

решал на скорую руку, но вроде должно быть так

Приложения:
Ответ дал: iovdd
0
а как на 4 действия поделить это всё?
Ответ дал: redkovpavel21
0
там это можно сделать если у тебя хоть немного есть мышления и логики
Ответ дал: iovdd
0
у меня нет мышления
Вас заинтересует