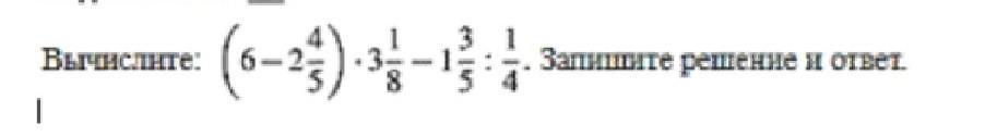
1 МАЛЕНЬКИЙ ПРИМЕР РЕШИТЕ ПОЖАЛУЙСТА, И ПОЖАЛУЙСТА ПО ДЕЙСТВИЯМ КАК РЕШИЛИ (4 ДЕЙСТВИЯ), 35 БАЛЛОВ, СПАСИБО ЗАРАНЕЕ
Приложения:

Ответы
Ответ дал:
0
Ответ:
3,6 или
Пошаговое объяснение:
Ответ дал:
0
Ответ:
Пошаговое объяснение:
Вас заинтересует
2 года назад
2 года назад
3 года назад
8 лет назад
8 лет назад
9 лет назад
9 лет назад