• Предмет: Математика
  • Автор: TheAgentSquid
  • Вопрос задан 8 лет назад

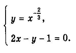
Решите графически систему уравнений
Выберите один ответ:
a. (1;-1)
b. (1;0)
c. (0;1)
d. (1;1)

Приложения:

Ответы

Ответ дал: Maximaizer999
0

Ответ:

Пошаговое объяснение:

(1;1)

2+1-3=0

0=0 Верно

(-2;11)

8+11-3=0

16=0 Неверно

(3;-15)

18-15-3=0

0=0 Верно

(-1;1)

2+1-3=0

0=0 Верно

Ответ: (1;1), (3;-15), (-1;1)

Вас заинтересует