• Предмет: Алгебра
  • Автор: simonenko20052
  • Вопрос задан 8 лет назад

Х будет -1,2
Можно. Объяснением

Приложения:

Ответы

Ответ дал: parus77
0

Ответ:

Объяснение:

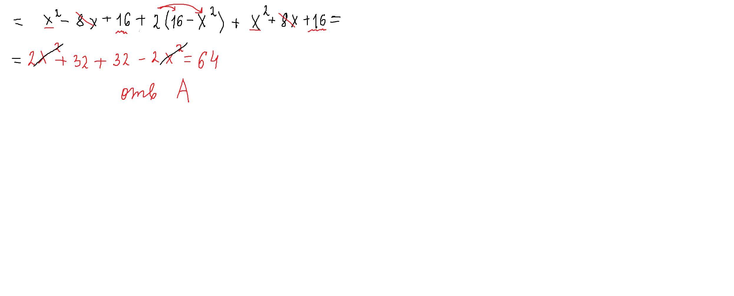
после того как раскроем все скобки и приведем подобные слагаемые ,мы получим выражение,которое не зависит от х,поэтому подставлять вместо х число -1,2 даже будет не нужно.Получим ответ А) 64

Приложения:
Ответ дал: simonenko20052
0
Огромное спасибо
Вас заинтересует