Ответы
Ответ дал:
0
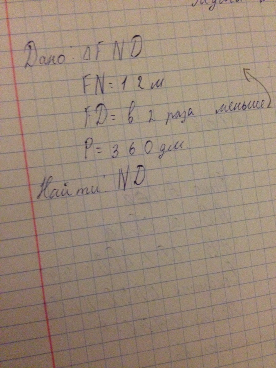
FD=12/2=6
P=360дм=36м
ND=36-12-6=18
P=360дм=36м
ND=36-12-6=18
Ответ дал:
0
1) 120 : 2 =60 (дм.) - FD 12м. = 120 дм.
2) 360 - 120 -60 = 180(дм.) - ND
Ответ: 120 дм. - сторона ND
2) 360 - 120 -60 = 180(дм.) - ND
Ответ: 120 дм. - сторона ND
Вас заинтересует
3 года назад
8 лет назад
8 лет назад
11 лет назад
11 лет назад
11 лет назад