Найдите производную в 6 пункте(подробно распишите, пожалуйста),
красным написал учитель, что нужно сделать, но я так и не понял
Приложения:


Ответы
Ответ дал:
0
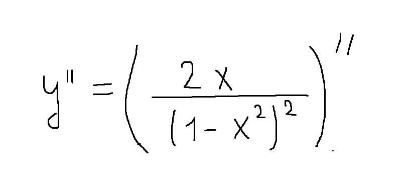
Вы пропустили одно действие, поэтому возник вопрос "как получено". Но предложение (способ) учителя раскрыть скобки неудачное. Можно, но зачем, если удобнее вынести за скобки (1-х^2) и сократить. То, что хотел учитель в числителе, расписано ниже. Но это было бы 6 дробей, вместо двух.
Приложения:

Вас заинтересует
2 года назад
2 года назад
3 года назад
3 года назад
8 лет назад
8 лет назад
9 лет назад
9 лет назад