• Предмет: Математика
  • Автор: Valerijas2105
  • Вопрос задан 8 лет назад

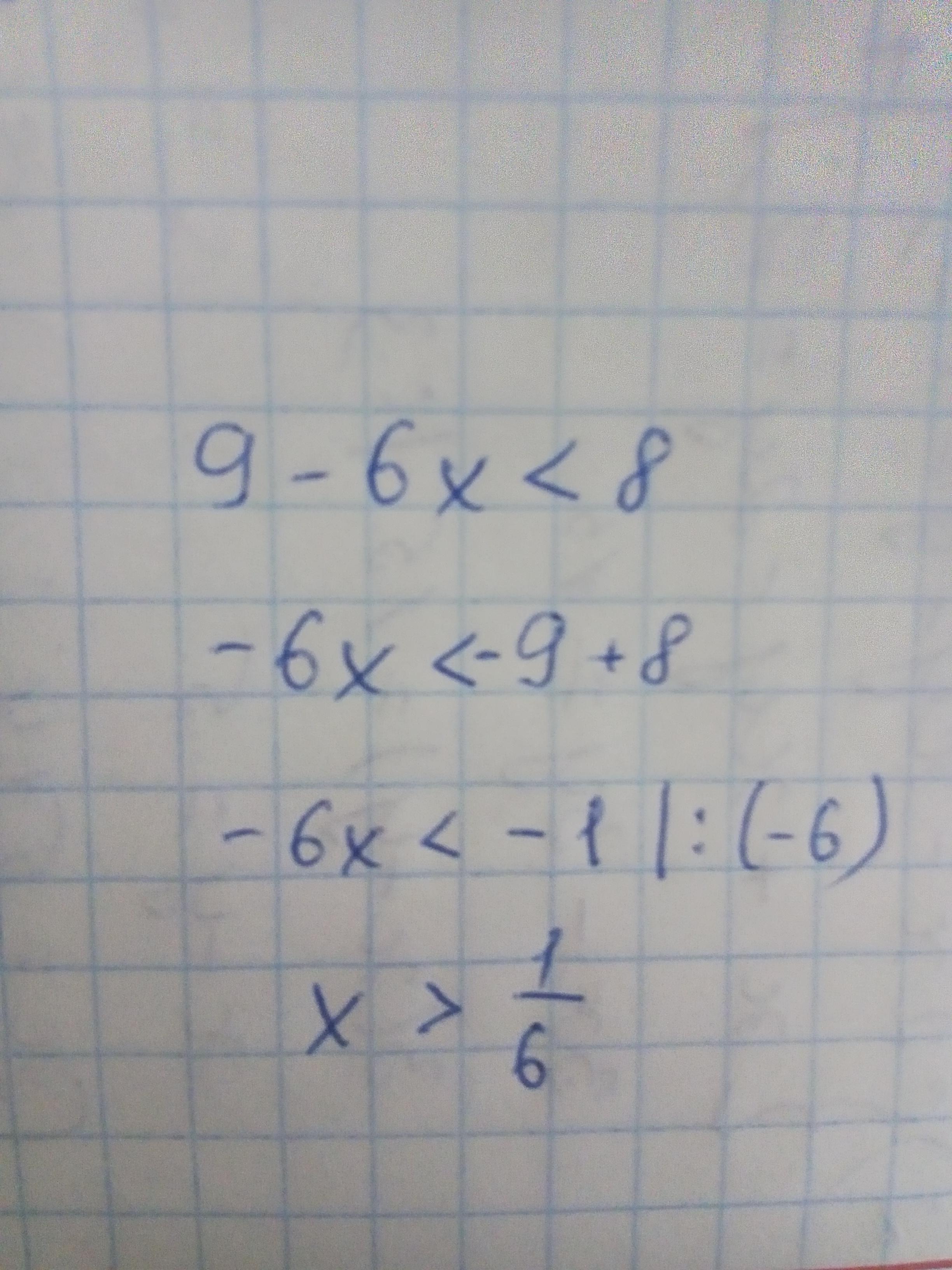
при каком значении значение 9-6x меньчше 8?
ПОЖАЛУЙСТА ЭТО ОЧЕНЬ СРОЧНО

Ответы

Ответ дал: sereeva07
0

Ответ:

Пошаговое объяснение:

Приложения:
Вас заинтересует