Ответы
Ответ дал:
0
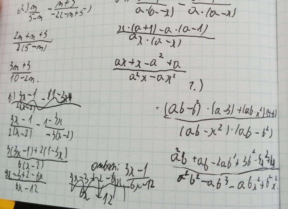
A)(3m+3)/(10-2m)
Б)ax+x-a²+a/a²x-ax²
В)3х-1/6х-12
Г)-2ab+3b+4a/-ab²+a²b
Ответ дал:
0
Ответ:
За плдчерк извиняюсь!
Приложения:

Вас заинтересует
2 года назад
3 года назад
8 лет назад
8 лет назад
9 лет назад