• Предмет: Алгебра
  • Автор: Qusifrm
  • Вопрос задан 8 лет назад

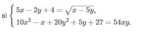
Решить систему уравнений

Приложения:

Ответы

Ответ дал: mathgenius
0

Вижу, что  пример никто не решает .

 Не  знаю  актуально еще  или нет ,  но напишу.

У вас была еще первая система, но я  уже забыл как выглядит.

Ответ: x= -1 ; y =-2

Объяснение:

5x-2y+4 =√(x-5y)   (x-5y>=0)

10*x^2 -x +20*y^2  +5y +27 =54*x*y

Преобразуем уравнение 2 :

10*x^2 -4*xy +20*y^2 -50*xy  -(x-5y) +27 =0

2x * (5x-2y)  -10*y*(5x-2y)  - (x-5y) +27 = 0

2*(x-5y)*(5x-2y)  - (x-5y) +27 =0

(x-5y)* ( 2*(5x-2y) -1 ) +27 = 0

(x-5y)*( 2*(5x-2y+4) -9 ) +27=0

Пусть :  √(x-5y) = 5x-2y+4 = t>=0  ( согласно первому уравнению системы )

Тогда подставляя во второе уравнение имеем :

t^2*(2t-9) +27 = 0

2*t^3 -9*t^2 +27 = 0

2*t^3 -6*t^2  +27 -3*t^2 = 0

2*t^2*(t-3) + 3*(9-t^2) = 0

2*t^2*(t-3) -3*(t-3)*(t+3) = 0

(t-3) * (2t^2 -3t -9 ) = 0

(t-3)* ( (t^2-9) +(t^2-3t)  ) = 0

(t-3)* ( (t-3)*(t+3) +t*(t-3) ) =0

(t-3)^2 * (2t+3) = 0

t1=3

t2= -3/2 <0 - не  подходит

Таким образом :

5x-2y+4 = 3

x-5y = 3^2 = 9

2y-5x =1

-5y+x =9

Умножаем второе уравнение на  5 и складываем с первым :

-23y =46

y=-2

x= 9+5y = 9 -10 = -1

Ответ :  x= -1 ; y =-2

Ответ дал: Qusifrm
0
Большое спасибо! Первую систему сам смог решить)
Вас заинтересует