• Предмет: Алгебра
  • Автор: Nonameisverystupid
  • Вопрос задан 8 лет назад

50 БАЛЛОВ!
Пожалуйста, помогите решить логарифм. уравнение..
Пожалуйста!
Можно на листочке..

Приложения:

Ответы

Ответ дал: Evgenia4836
0

Ответ:

Объяснение:

ОДЗ: x>0

пусть log3(x)=t

t²+2t-3=0

D= 4+12=16

t1= (-2+4)/2= 1

t2= (-2-4)/2= -3

log3(x)=1

x1=3

log3(x)= -3

x2= 1/27

Ответ дал: gggarbakov
0

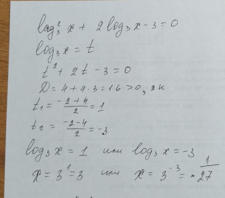
Ответ:

Смотри решение на фото

Приложения:
Вас заинтересует