• Предмет: Математика
  • Автор: nastytv49
  • Вопрос задан 8 лет назад

Помогите зделать номер 1234 пожалуйста

Приложения:

Ответы

Ответ дал: SergeyRumkin
0

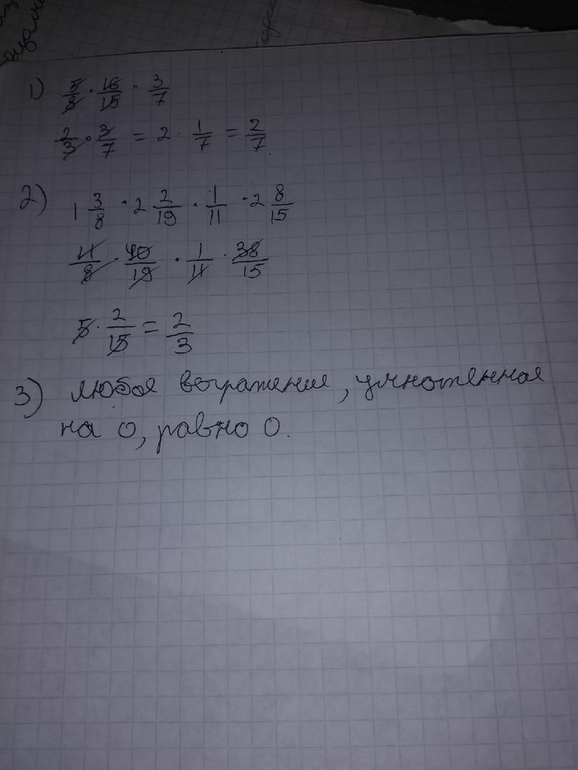
Ответ:

1) 2/7

2) 2/3

3)0

Пошаговое объяснение:

решение на фото

Приложения:
Вас заинтересует