Ответы
Ответ дал:
0
Ответ:
Смотри решение на фото
Приложения:

Ответ дал:
0
Ответ:
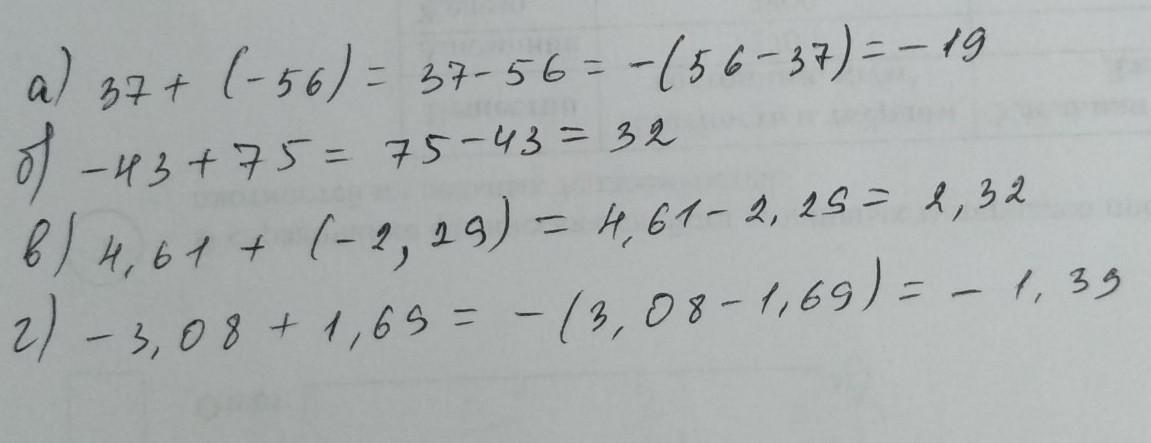
а)-19
б)32
в)2,32
г)-1,39
Приложения:

Вас заинтересует
2 года назад
2 года назад
3 года назад
3 года назад
8 лет назад
8 лет назад