• Предмет: Алгебра
  • Автор: nikitoparf
  • Вопрос задан 8 лет назад

Упростите пожалуйста:
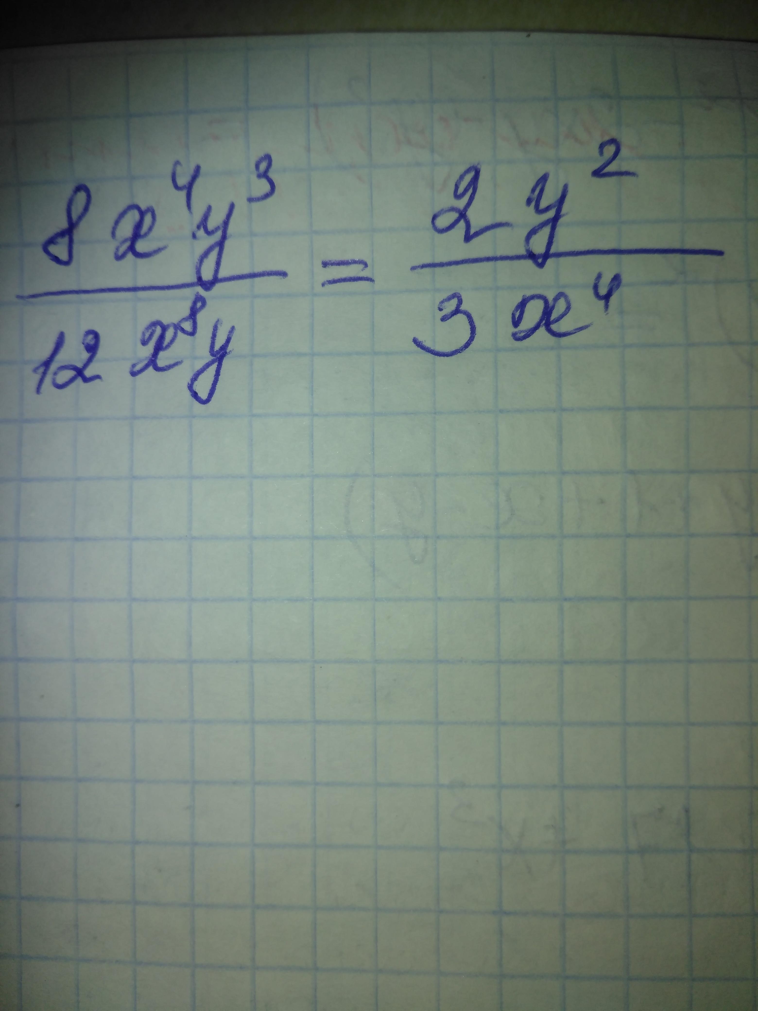
 frac{8x {4y {3}^{} }^{} }{12x {8y}^{?} }

Ответы

Ответ дал: MizoriesKun
0

Смотри....... ............ ....

Приложения:
Ответ дал: sebrithien
0

displaystyle tt frac{8x^4y^3}{12x^8y}=bold{frac{2y^2}{3x^4}}

Приложения:
Вас заинтересует