Ответы
Ответ дал:
0
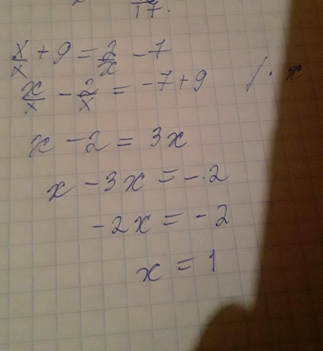
ответ х=1 думаю правильно
Приложения:

Ответ дал:
0
Ответ:
Пошаговое объяснение:
х/(х+9)= 2/(х-7).
х(х-7)=2(х+9).
х²-7х=2х+18.
х²-9х-18=0.
х₁₂=( 9±√(81+4*18)) /2=( 9±√153)/2.
х₁= (9+3√17)/2.
х₂= (9-3√17)/2.
Если я правильно списала уравнение.
Приложения:

Вас заинтересует
2 года назад
3 года назад
3 года назад
8 лет назад
8 лет назад
9 лет назад