• Предмет: Математика
  • Автор: rzsbtwe
  • Вопрос задан 8 лет назад

помогите пожалуйста совсем никто не может помочь я уже не знаю что делать

Приложения:

Ответы

Ответ дал: NNNLLL54
0

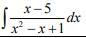
int frac{x-5}{x^2-x+1}, dx=int frac{x-5}{(x-frac{1}{2})^2-frac{1}{4}+1}, dx=int frac{x-5}{(x-frac{1}{2})^2+frac{3}{4}}, dx=Big[; t=x-frac{1}{2}; ,; dt=dx; Big]=\\=int frac{t+frac{1}{2}-5}{t^2+frac{3}{4}}, dt=frac{1}{2}int frac{2t, dt}{t^2+frac{3}{4}}-frac{9}{2}int frac{dt}{t^2+frac{3}{4}}=frac{1}{2}int frac{d(t^2+frac{3}{4})}{t^2+frac{3}{4}}-frac{9}{2}cdot frac{2}{sqrt3}cdot arctgfrac{2t}{sqrt3}+C=

=frac{1}{2}cdot ln|t^2+frac{3}{4}|-3sqrt3cdot arctgfrac{2(x-frac{1}{2})}{sqrt3}+C=\\=frac{1}{2}cdot ln|x^2-x+1|-3sqrt3cdot arctgfrac{2x-1}{sqrt3}+C

Вас заинтересует