• Предмет: Алгебра
  • Автор: borisovaelizaveta14
  • Вопрос задан 8 лет назад

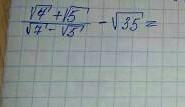
Обчислити/Позбутися вiд iррацiональностi..)​

Приложения:

Ответы

Ответ дал: nejiktais
0

Ответ:

6.... ..................

Приложения:
Вас заинтересует