• Предмет: Геометрия
  • Автор: adsgdfhdh
  • Вопрос задан 8 лет назад

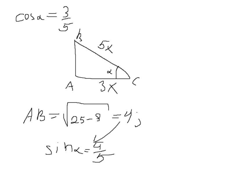
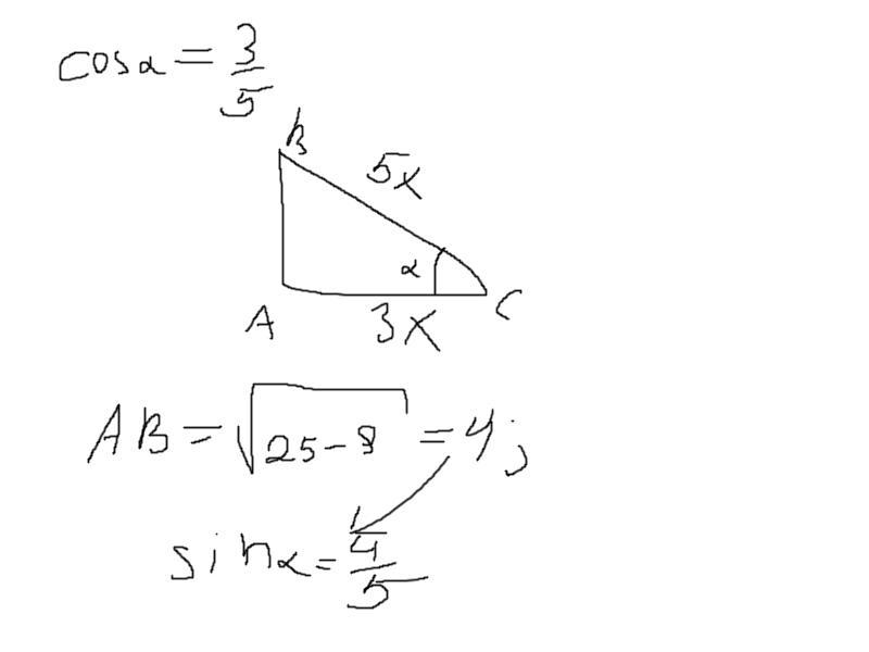
Определи синус острого угла, если дан косинус того же угла.

(Дробь сокращать не нужно.)

Ответ: если cosα=3/5, то sinα=

Ответы

Ответ дал: rencol1064
0

Ответ:

sinx = 4/5

Объяснение:

Приложения:
Вас заинтересует