• Предмет: Алгебра
  • Автор: Alena66669
  • Вопрос задан 8 лет назад

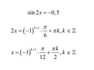
Sin2x= - 0.5 Какой из 4 вариантов верный?

Приложения:

Ответы

Ответ дал: triggerbott
0

Ответ:

Решение представлено на картинке

Объяснение:

Приложения:
Вас заинтересует