• Предмет: Алгебра
  • Автор: shepwzz
  • Вопрос задан 8 лет назад

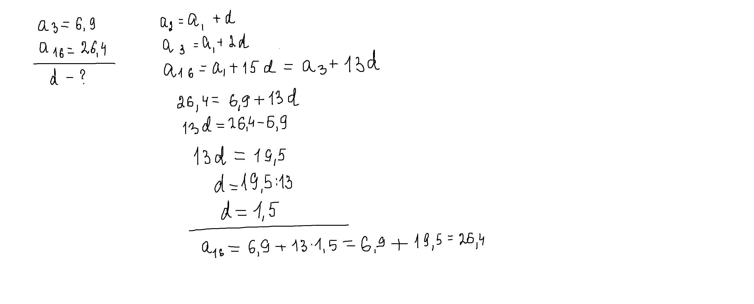
арифметическая прогрессия, помогите лишь первое с обяьснением, остальное я сам

Приложения:

Ответы

Ответ дал: MizoriesKun
0

1) 16-3=13

d= (26,4-6,9) :13 = 1,5

Ответ дал: parus77
0

Ответ:

Объяснение:

решение внизу

Приложения:
Вас заинтересует