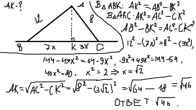
З точки до прямої проведено дві похилі , довжини яких дорівнюють 12 см і 8 см. Знайдіть відстань від точки до прямої, якщо проекції похилих на цю пряму відносяться як 7:3
Ответы
Ответ дал:
0
==============================================================================================
Приложения:

Вас заинтересует
2 года назад
3 года назад
3 года назад
8 лет назад
8 лет назад
9 лет назад