Ответы
Ответ дал:
0
Ответ:
Пошаговое объяснение:
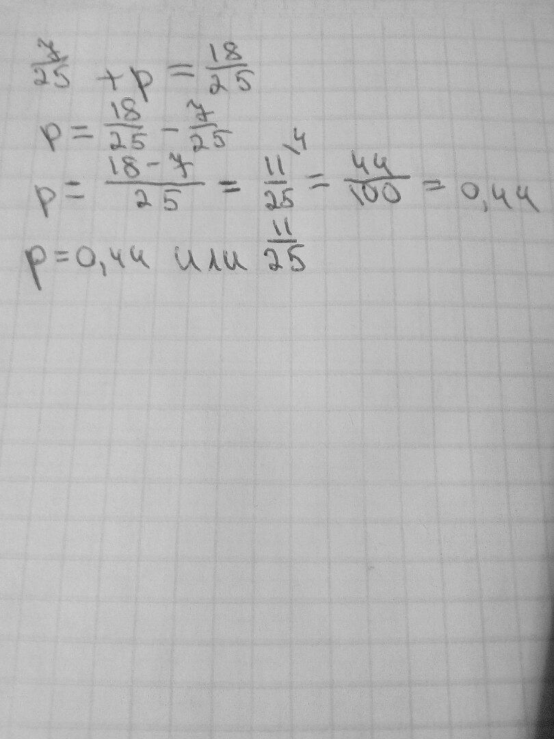
р=18/25-7/25=11/25.
Ответ дал:
0
Ответ:
11/25
Пошаговое объяснение:
На фото, если не разберёшь - пиши.
При переносе 7/25 за "=" меняется знак
Приложения:

Вас заинтересует
2 года назад
3 года назад
3 года назад
8 лет назад
8 лет назад
9 лет назад
9 лет назад