• Предмет: Алгебра
  • Автор: oldersally9
  • Вопрос задан 8 лет назад

Помогите пожалуйста, нужно решить первые два уравнения!

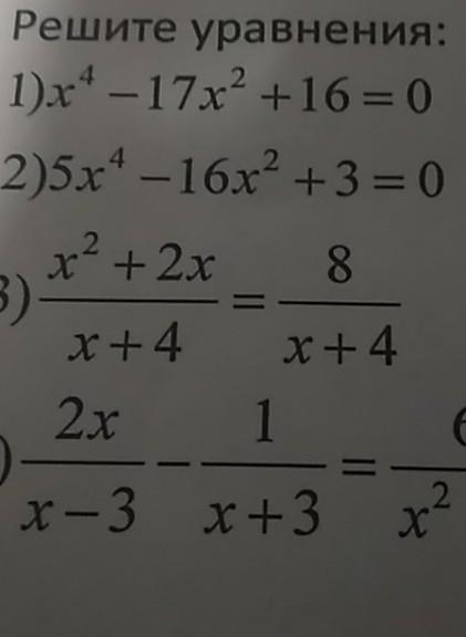
Приложения:

Ответы

Ответ дал: Аноним
0

1) x^{4} -17x^{2} +16=0

  t=x^{2}

  t^{2} -17t+16=0

  D=b^{2} -4ac= (-17)^{2}-4*1*16=289-64=225

  t= frac{-b-sqrt{D} }{2a}=frac{17-15}{2}=frac{2}{2}=1

  t= frac{-b-sqrt{D} }{2a}=frac{17+15}{2}=frac{32}{2}=16

  x^{2}=16\x= 4\x=-4          

  x^{2}=1\x=1}  \x=-{1}

__________________________________________

2) 5x^{4} - 16x^{2} +3=0

    t=x^{2}

    5t^{2} - 16t+3=0

    D=b^{2}-4ac=(-16)^{2}-4*5*3=256-60=196

    t= frac{-b-sqrt{D} }{2a}=frac{16-14}{2*5}=frac{2}{10}=frac{1}{5}=0,2

    t= frac{-b-sqrt{D} }{2a}=frac{16+14}{2*5}=frac{30}{10}=3

    x^{2}=0,2\x=sqrt{0,2}\x=-sqrt{0,2}

    x^{2}=3\x=sqrt{3} \x=-sqrt{3}

Вас заинтересует