Ответы
Ответ дал:
0
Ответ:
Объяснение решения:
решение внизу
Приложения:

Ответ дал:
0
Ответ:
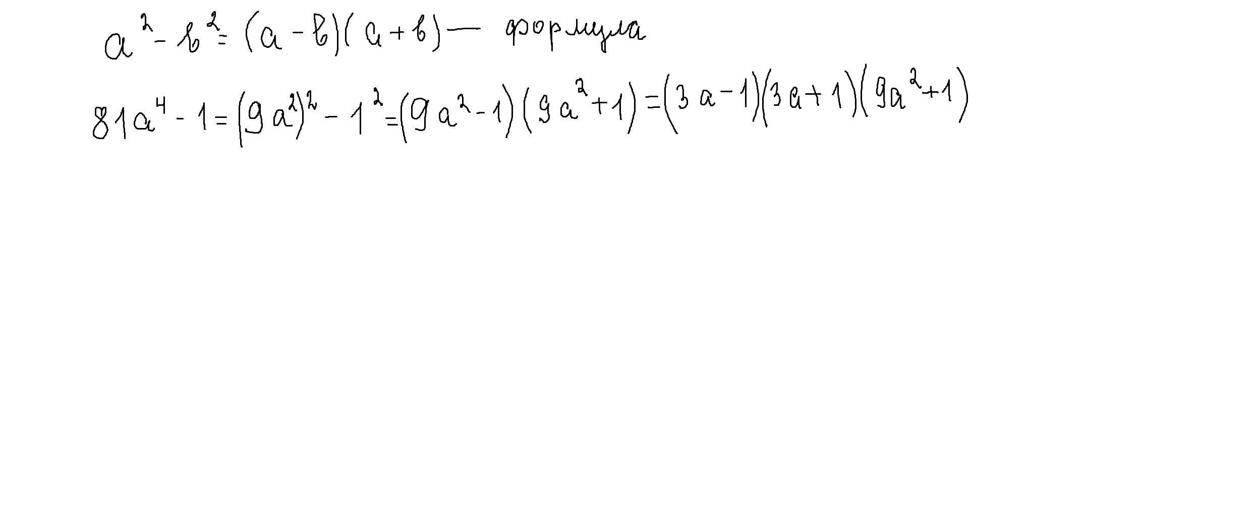
По формуле: a в квадрате - b в квадрате = (a - b)(a + b) разложить на множители
Объяснение:
(9a^2 -1) * (9а^2 +1) = (3а - 1) * (3а + 1) * (9а^2 + 1)
Приложения:

Вас заинтересует
2 года назад
2 года назад
3 года назад
8 лет назад
8 лет назад
9 лет назад