Ответы
Ответ дал:
0
Ответ:
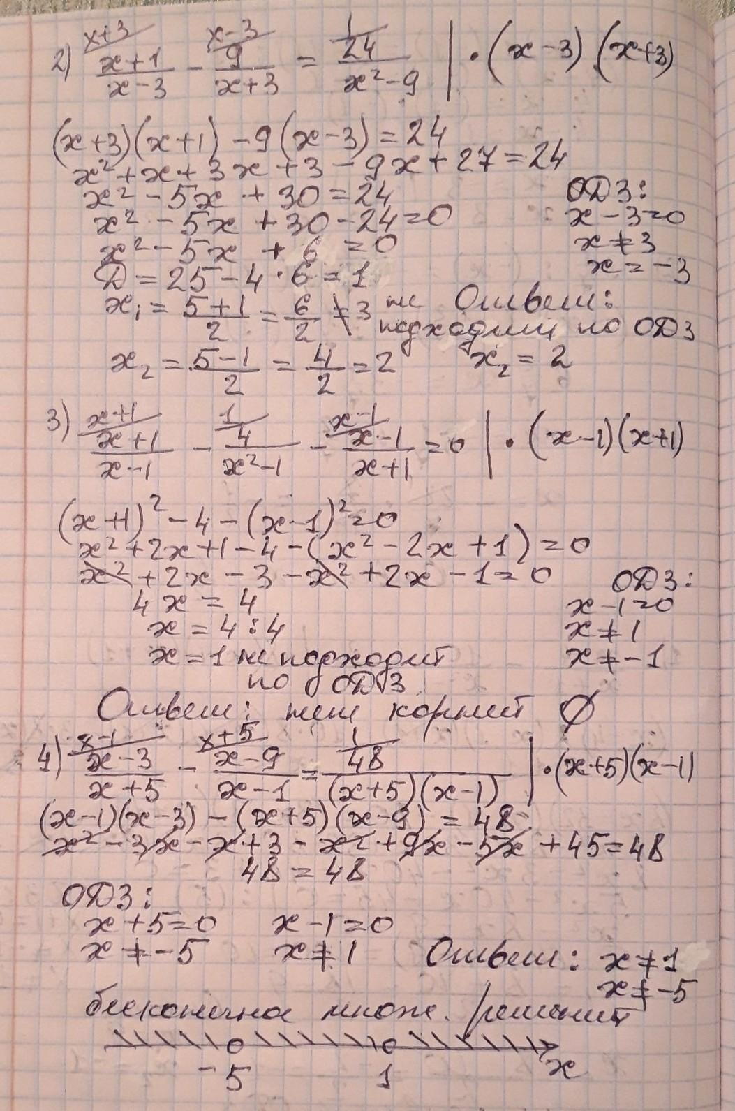
Решите уравнение.
1)Х=9
2)Х=2
3) нет корней.
4) Х принимает любые значения, кроме 1 и -5;
бесконечное число решений.
Приложения:


Вас заинтересует
2 года назад
2 года назад
3 года назад
3 года назад
8 лет назад
8 лет назад
9 лет назад
9 лет назад