• Предмет: Математика
  • Автор: Aleksandra34909
  • Вопрос задан 8 лет назад

Помогите решить, пожалуйста

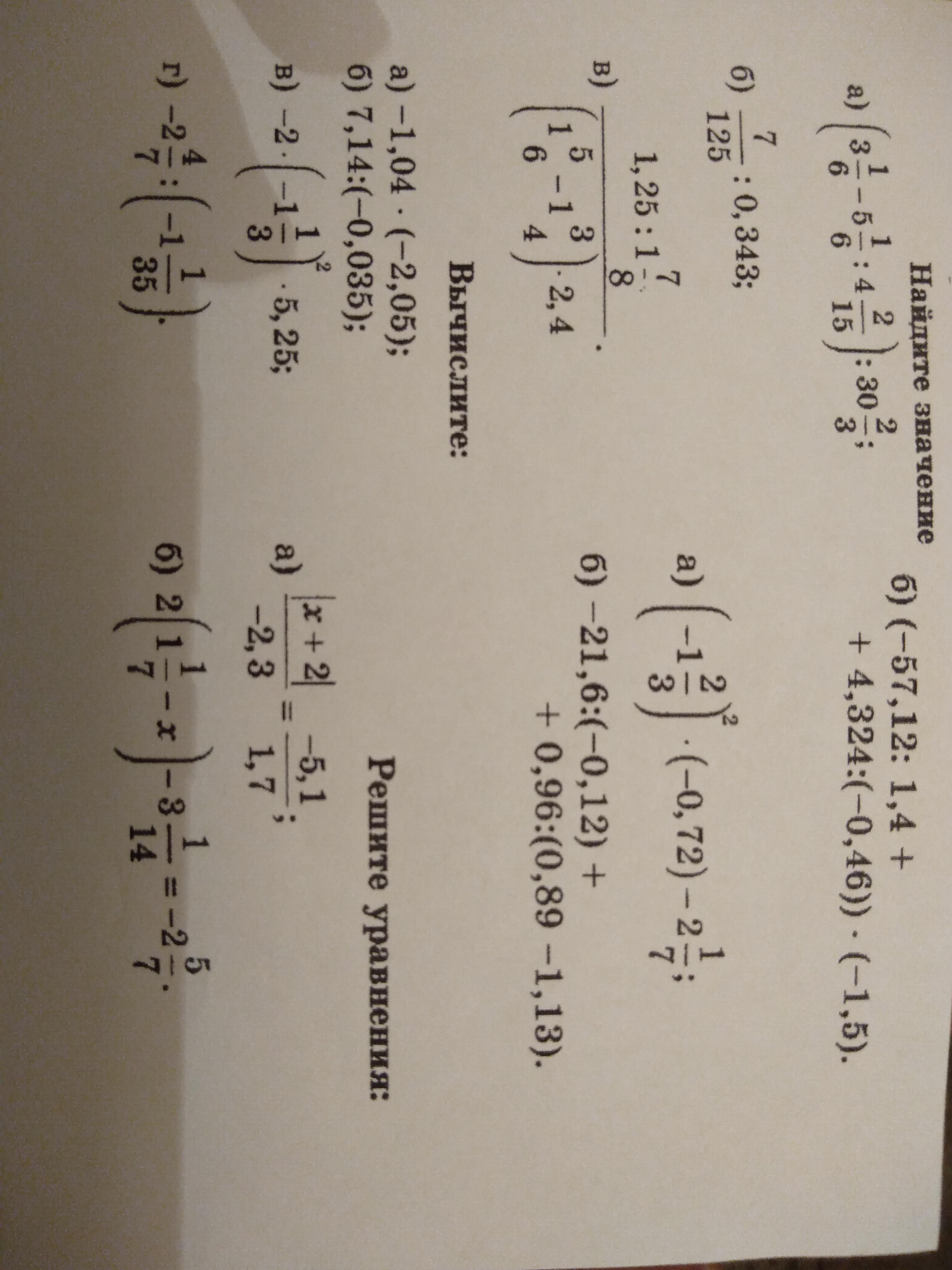
Приложения:

Ответы

Ответ дал: bel72777
0

Ответ:

Пошаговое объяснение:

а) (3 1/6 -5 1/6 ÷4 2/15)÷30 2/3=(3 1/6 -31/6 ·15/62)·3/92=(19/6 -5/(2·2))·3/92=(38/12 -15/12)·3/92=23/12 ·3/92=1/(4·4)=1/16=0,0625

б) (-57,12÷1,4+4,324÷(-0,46))·(-1,5)=(-204/5 -47/5)·(-15/10)=-251/5 ·(-15/10)=(251·3)/10=75,3

б) 7/125 ÷0,343=7/125 ·1000/343=8/49

а) (-1 2/3)²·(-0,72)-2 1/7=(-5/3)²·(-18/25)-2 1/7=25/9 ·(-18/25)-2 1/7=-2-2 1/7=-4 1/7

в) (1,25÷1 7/8)/((1 5/6 -1 3/4)·2,4)=(5/4 ·8/15)/((1 10/12 -1 9/12)·12/5)=(2/3)/(1/12 ·12/5)=(2/3)/(1/5)=2/3 ·5=10/3=3 1/3

б) -21,6÷(-0,12)+0,96÷(0,89-1,13)=2160/12 +0,96÷(-0,24)=180 +96/24=180+4=184

а) -1,04·(-2,05)=-26/25 ·(-41/20)=-13/25 ·(-41/10)=533/250=2 33/250

б) 7,14÷(-0,035)=7140/(-35)=-204

в) -2·(-1 1/3)²·5,25=-2·(-4/3)²·21/4=16/9 ·(-21/2)=-(8·7)/3=-56/3=-18 2/3

г) -2 4/7 ÷(-1 1/35)=-18/7 ·(-35/36)=5/2=2,5

а) |x+2|/(-2,3)=-5,1/1,7

|x+2|/(-2,3)=-51/17

|x+2|=-3·(-2,3)

|x+2|=6,9

При x+2≥0: x+2=6,9; x₁=6,9-2=4,9.

При x+2<0: -x-2=6,9; x₂=-6,9-2=-8,9.

Ответ: -8,9 и 4,9.

б) 2(1 1/7 -x)-3 1/14=-2 5/7

2(1 1/7 -x)=-2 10/14 +2 15/14

8/7 -x=5/14 ·1/2

x=32/28 -5/28=27/28

Ответ: 27/28.

Вас заинтересует