• Предмет: Математика
  • Автор: amina795
  • Вопрос задан 8 лет назад

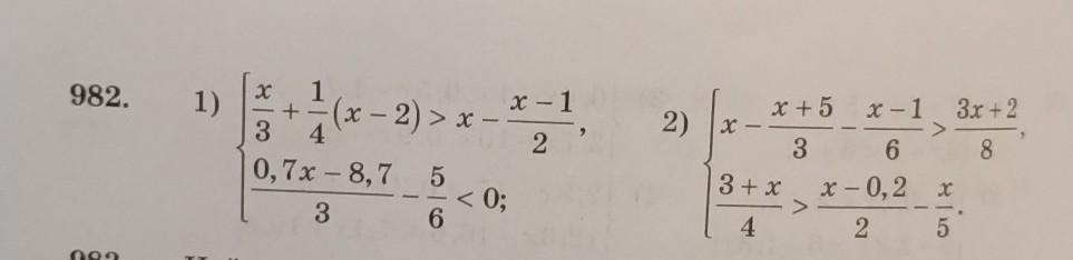
всем привет! Помогите пожалуйста с математикой, если не сложно можете ответ в фото сделать , дам 20баллов , спасибо ♥️​

Приложения:

Ответы

Ответ дал: savaskovat
0

Ответ:

Пошаговое объяснение:

Приложения:
Ответ дал: amina795
0
а что? Почему спрашиваешь?
Ответ дал: savaskovat
0
Я просто не стал сильно расписывать
Ответ дал: amina795
0
ааа...
Вас заинтересует