Ответы
Ответ дал:
0
Ответ:
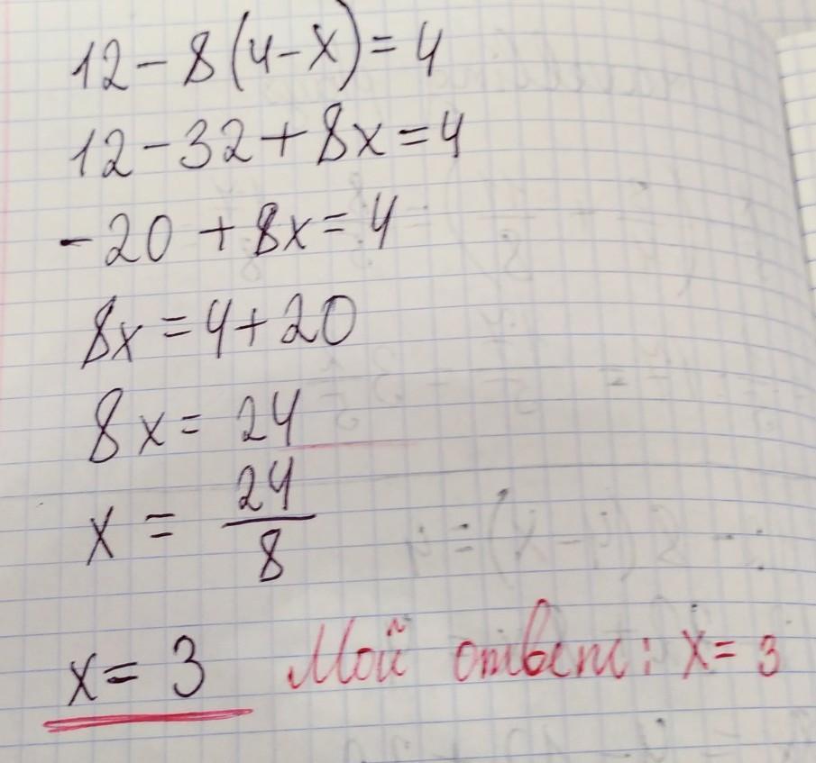
3
Пошаговое объяснение:
Разделим все уравнение на 4 и выполним почленное деление в левой его части:
Перенесем 3 в правую часть уравнения с противоположным знаком и разделим его на -2.
Найдем x:
Ответ дал:
0
Смотри вложение..........
Приложения:

Вас заинтересует
2 года назад
2 года назад
3 года назад
3 года назад
8 лет назад
8 лет назад
9 лет назад