• Предмет: Алгебра
  • Автор: Markopolo222
  • Вопрос задан 8 лет назад

Срочно пжажжпжпжажп алгебра пжажпжп

Приложения:

Ответы

Ответ дал: ЯгодкаЯлесная
0

Ответ:

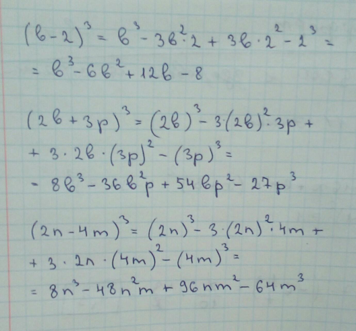
фоточка тебе в помощь ;)

Приложения:
Вас заинтересует