• Предмет: Алгебра
  • Автор: nawak1805
  • Вопрос задан 8 лет назад

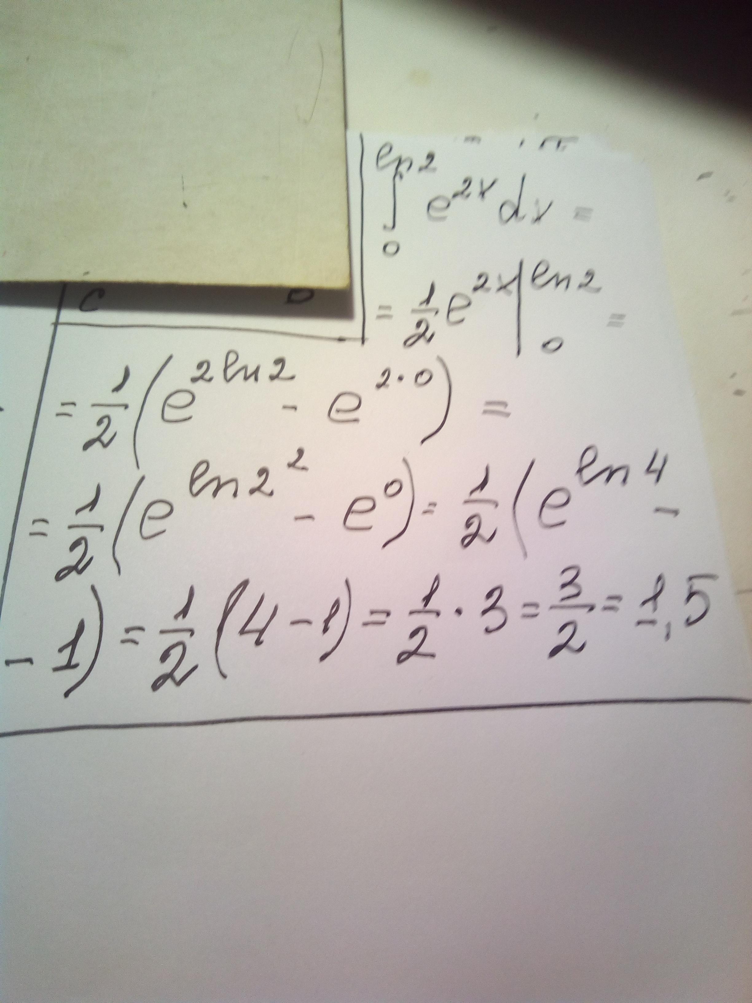
Помогите найти интеграл​

Приложения:

Ответы

Ответ дал: manyny06
0

Ответ:

решение смотри на фотографии

Объяснение:

Приложения:
Вас заинтересует