• Предмет: Алгебра
  • Автор: bendi87
  • Вопрос задан 8 лет назад

ПОМОГИТЕ! 1!1!! 1!! 1!1!! 1!1!! 1!! 1!!!! 1!! 1!1!!!!!!!!!!! Дам сколько хочешь баллов ​

Приложения:

Ответы

Ответ дал: lewombatz
0

сюда очень неудобно загружать фото, ответ подчеркнул.

Приложения:
Ответ дал: Аноним
0

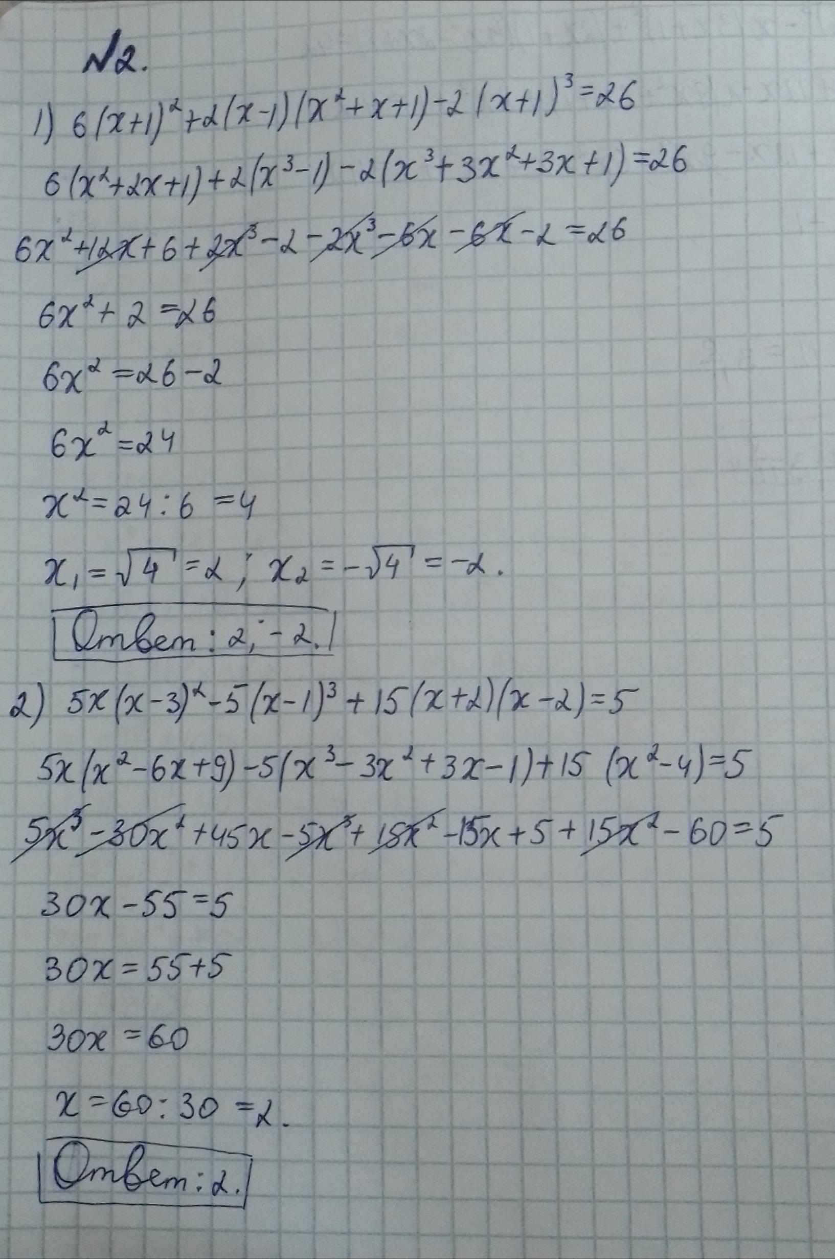
Ответ на фото.

Пиши, если что-то не понятно.

Приложения:
Вас заинтересует