• Предмет: Математика
  • Автор: lolillol
  • Вопрос задан 8 лет назад

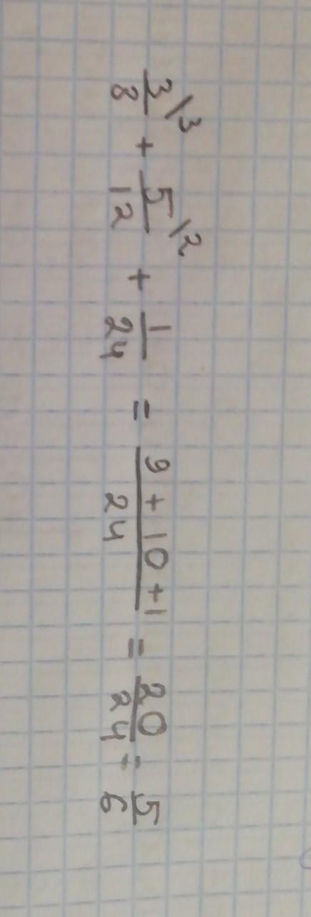
дробь 3/8 + 5/12 + 1/24=? ​

Ответы

Ответ дал: alesia8907
0

Ответ:

5/6

Пошаговое объяснение:

______________________

Приложения:
Ответ дал: LehaSh
0

Ответ:

3/8(доп.множитель 3)+5/12(доп.множитель 2)+1/24(доп. множитель 1)=9/24+10/24+1/24=9+10+1/24=20/24(можно разложить)=10/12=5/6

Приложения:
Вас заинтересует