Ответы
Ответ дал:
0
Ответ:
Объяснение: Вот держи , вроде постаралась понятней решить
Приложения:


Ответ дал:
0
Ответ:
Объяснение:
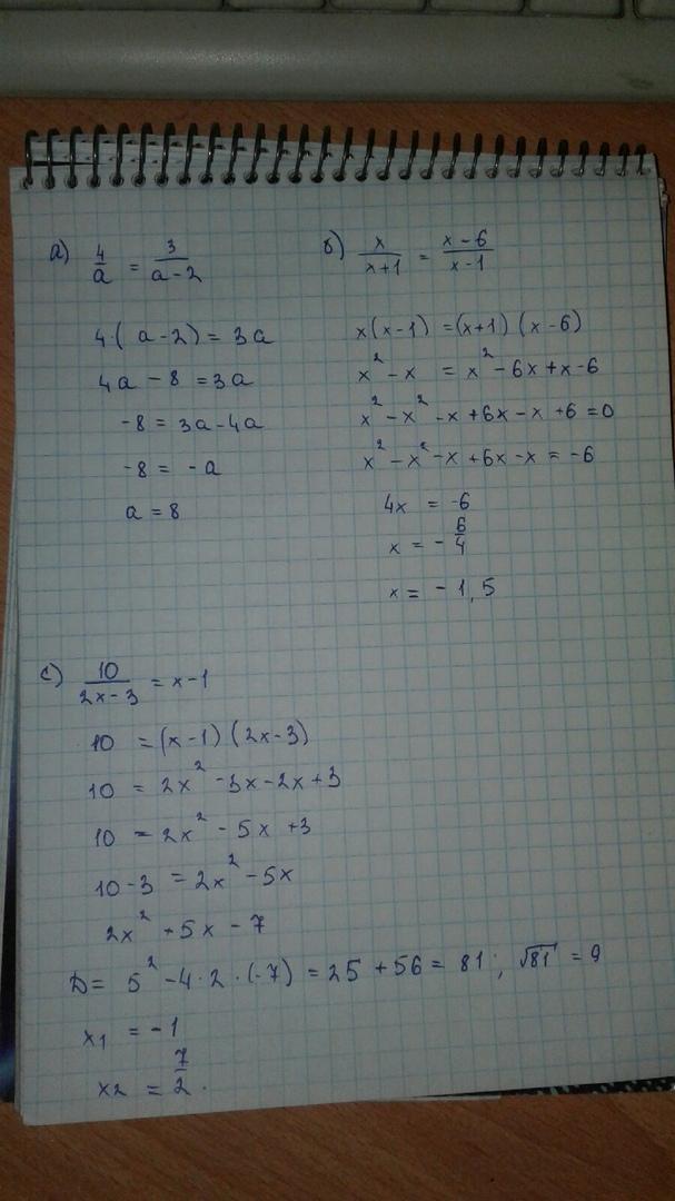
а) 4/а=3/(а-2) ОДЗ: a≠0 a-2≠0 a≠2.
4*(a-2)=3*a
4a-8=3*a
a=8.
b) x/(x+1)=(x-6)/(x-1) ОДЗ: x+1≠0 x≠-1 x-1=0 x≠1
x*(x-1)=(x-6)(x+1)
x²-x=x²-5x-6
-x=-5x-6
4x=-6 |÷4
x=-1.5.
c) 10/(2x-3)=x-1 ОДЗ:2x-3≠0 2x≠3 x≠1,5.
(x-1)*(2x-3)=10
2x²-5x+3=10
2x²-5x-7=0 D=81 √D=9
x₁=-1 x₂=3,5.
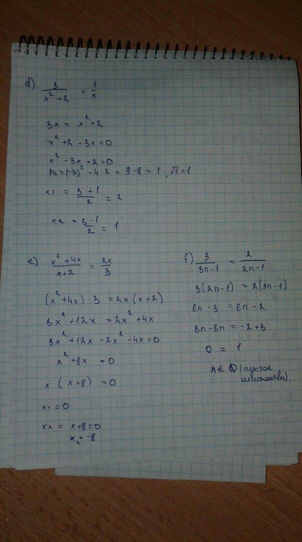
d) 3/(x²+2)=1/x ОДЗ: х≠0
3*x=1*(x²+2)
3x=x²+2
x²-3x+2=0 D=1
x₁=1 x₂=2
e) (x²+4x)/(x+2)=2x/3 ОДЗ: х+2≠0 х≠-2
3*(x²+4x)=2x*(x+2)
3x²+12x=2x²+4x
x²+8x=0
x*(x+8)=0
x₁=0 x₂=-8.
f) 3/(3n-1)=2/(2n-1) ОДЗ: 3n-1≠0 n≠1/3 2n-1≠0 n≠1/2.
3*(2n-1)=2*(3n-1)
6n-3=6n-2
-3≠-2 ⇒
Уравнение решения не имеет.
Приложения:


Вас заинтересует
2 года назад
3 года назад
3 года назад
8 лет назад
8 лет назад
9 лет назад