• Предмет: Математика
  • Автор: vyvarzkhshchsh
  • Вопрос задан 8 лет назад

ПОМОГИТЕ ПОЖАЛУЙСТА КТО НИБУДЬ (((

Приложения:

Ответы

Ответ дал: table123
0

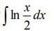
Ответ:

Пошаговое объяснение:

=2(x*lnx-x)+c

Вас заинтересует