как найти синус угла равного 15 не используя тригонометрию и транспортира.
используется только обычная геометрия
Ответы
Ответ дал:
0
Ответ:
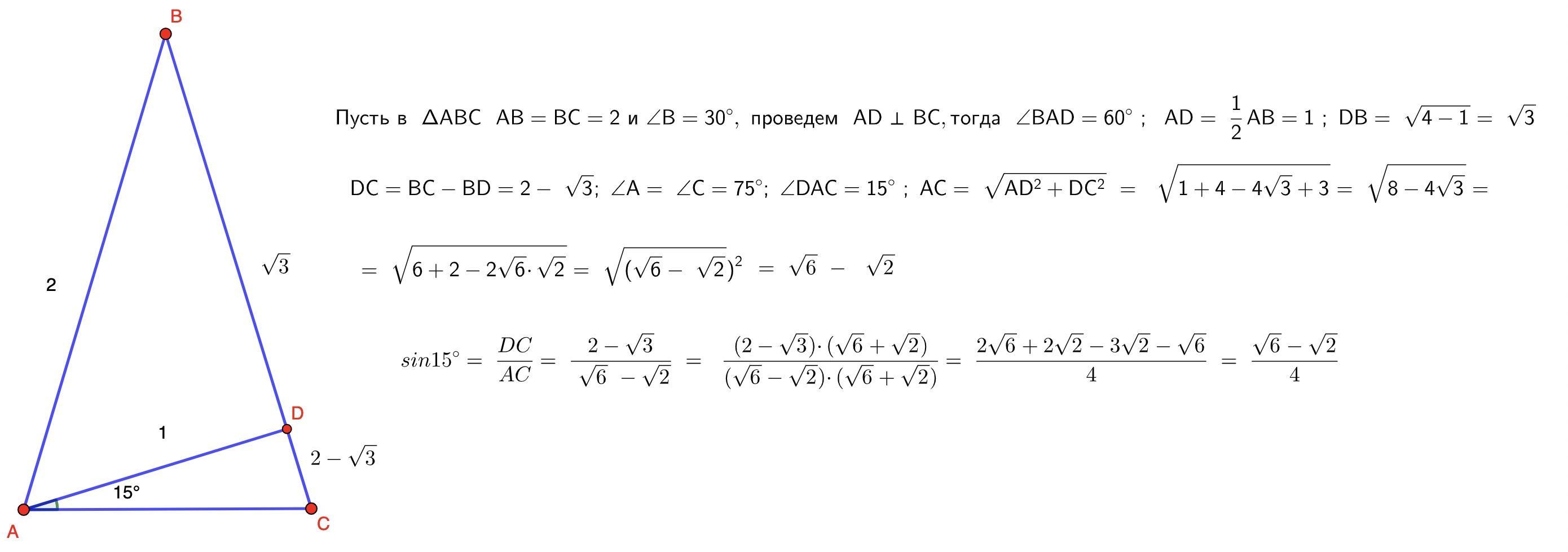
Не уверен , что это лучше тригонометрии :
Объяснение:
Приложения:
Вас заинтересует
2 года назад
2 года назад
3 года назад
3 года назад
9 лет назад
9 лет назад
10 лет назад
10 лет назад