• Предмет: Алгебра
  • Автор: yankasma
  • Вопрос задан 8 лет назад

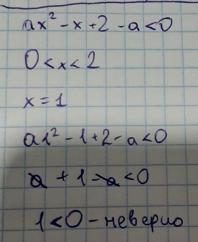
Найдите все значения параметра а, при которых из неравенства ах^2-х+2-а<0, следует неравкнство 0<х<2

Ответы

Ответ дал: roberko12
0

Ответ:

ьыыыььььььъъыыыы

Объяснение:

выыыыыы

Приложения:
Вас заинтересует