• Предмет: Математика
  • Автор: Zoryanka09
  • Вопрос задан 8 лет назад

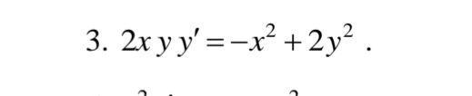
Помогите с решением если надо что-то дополнительно, могу скинуть)

Приложения:

Ответы

Ответ дал: evazaiceva43
0

Ответ:

y'=x²=x=y'y' вродебы так

Вас заинтересует