Ответы
Ответ дал:
0
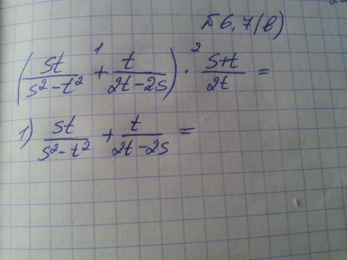
1) первый знаменатель,там разность квадратов а2-в2=(а-в)(а+в)второй знаменатель2 выносим за скобки в скобках разность букв
.далее приводишь ко общему знаменателю и приписываем дополнительные множетели.далее в числителе раскрываем скобки. Во втром действии сокращение дробей
.далее приводишь ко общему знаменателю и приписываем дополнительные множетели.далее в числителе раскрываем скобки. Во втром действии сокращение дробей
Ответ дал:
0
Пишу решение на листочке смотри фото
Приложения:
Вас заинтересует
8 лет назад
8 лет назад
11 лет назад
11 лет назад
11 лет назад